Hate speech detection ์ ํ๊ธฐ ์ํด์ ์ด๋ค ๋ฅ๋ฌ๋ ์๊ณ ๋ฆฌ์ฆ์ ์ฌ์ฉํ ๊น ๊ณ ๋ฏผํ๋ ์ค, HAN ์๊ณ ๋ฆฌ์ฆ์ ๋ํด ์๊ฒ ๋์์ต๋๋ค.
HAN(Hierarchical Attention Network) ์๊ณ ๋ฆฌ์ฆ์ ๋ฌธ์ ๋ถ๋ฅ์ ํนํ๋์ด์๋ ๋ฅ๋ฌ๋ ์๊ณ ๋ฆฌ์ฆ์ ๋๋ค.
HAN์ ํน์ง

์ ๊ทธ๋ฆผ์ HAN ์๊ณ ๋ฆฌ์ฆ์ ๊ตฌ์กฐ์ ๋๋ค.
1) ๋ฌธ์์ ๊ณ์ธต์ ๊ตฌ์กฐ๋ฅผ ๋ฐ์
๋ฌธ์๋ ๋ฌธ์ฅ๋ค๋ก, ๋ฌธ์ฅ์ ๋จ์ด๋ค๋ก ๊ตฌ์ฑ๋์ด ์๋๋ฐ, ์ด๋ฌํ ๊ณ์ธต์ ๊ตฌ์กฐ๋ฅผ ๋ถ๋ฅํ๋๋ฐ ์ ํฉํ ์๊ณ ๋ฆฌ์ฆ์ ๊ฐ์ง๊ณ ์์ต๋๋ค.
2) Attention mechanism
์ค์ํ ๋จ์ด์ ๋ฌธ์ฅ์ ๊ฐ์ค์น๋ฅผ ๋ํด์ค ์ ์์ต๋๋ค.
์ด ๋ ๊ฐ์ง ํน์ง์ผ๋ก, document classification์ ์ฑ๋ฅ์ ๋์ฌ์ค๋๋ค.
๊ตฌ์กฐ๋ฅผ ์ข ๋ ํํค์ณ ๋ด ์๋ค.
L : document ๊ฐ ๊ฐ์ง๊ณ ์๋ ๋ฌธ์ฅ ๊ฐ์
si : document ๊ฐ ๊ฐ์ง๊ณ ์๋ ๋ฌธ์ฅ ํ๋ํ๋
Ti : ๊ฐ ๋ฌธ์ฅ์ Ti๊ฐ ๋จ์ด๋ฅผ ๊ฐ์ง๊ณ ์์
wit with t ∈ [1, T] : i๋ฒ์งธ ๋ฌธ์ฅ์ ๋จ์ด๋ค ์ ์๋ฏธ
Word Encoder
1) ๋จ์ด ์๋ฒ ๋ฉ
embed the words to vectors through an embedding matrix

bidirectional GRU ์ฌ์ฉ : to get annotations of words by summarizing information from both directions for words ๋จ์ด์ ๋ํ ์๋ฐฉํฅ ์ ๋ณด๋ฅผ ์์ฝํ์ฌ ๋จ์ด annotation์ ์ป๊ธฐ์ํด ์ฌ์ฉ, annotation์ ๋ฌธ๋งฅ ์ ๋ณด๋ฅผ ํตํฉํฉ๋๋ค.
forward : sentence si from wi1 to wiT : ๋ฌธ์ฅ ์ ๋จ์ด๋ค์ ์ ๋ฐฉํฅ์ผ๋ก ์ฝ์
backward : wiT to wi1 : ๋ฌธ์ฅ ์ ๋จ์ด๋ค์ ์ญ๋ฐฉํฅ์ผ๋ก ์ฝ์

์ ์์ (forward hidden state์ backward hidden state๋ฅผ ๋ณํฉํ๋ ๊ณผ์ ) ์ ํตํด์ ์ฃผ์ด์ง ๋จ์ด wit์ ๋ํด annotation ์ ์ป๋๋ค.
wit์ ์ค์ฌ์ผ๋ก ํ ์ ์ฒด ๋ฌธ์ฅ์ ์ ๋ณด๋ฅผ ์์ฝํฉ๋๋ค.

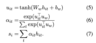
Word Attention
- ๋ชจ๋ ๋จ์ด๊ฐ ๋ฌธ์ฅ์์ ๋๋ฑํ๊ฒ ๊ธฐ์ฌํ์ง ์๋๋ค
- ๋ฐ๋ผ์ ๋ฌธ์ฅ์ ์๋ฏธ์ ์ค์ํ ๋จ์ด๋ฅผ ์ถ์ถํ๊ณ ๊ทธ ์ ๋ณด ๋จ์ด์ representation์ ์ง๊ณํ์ฌ ๋ฌธ์ฅ ๋ฒกํฐ๋ฅผ ํ์ฑํ๋ ์ดํ ์ ๋ฉ์ปค๋์ฆ์ ๋์ ํฉ๋๋ค.

(5) uit(hidden representation of hit) ๋ฅผ ์ป๊ธฐ ์ํด hit(word annotation) ๋ฅผ one-layer MLP๋ฅผ ์ ์ค๋ค.
(6) ๋จ์ด์ ์ค์๋๋ฅผ ์ธก์ : uw(word level context vector) ์ uit์ ์ ์ฌ์ฑ์ผ๋ก ์ธก์
→ softmax function์ ํตํด ait (normalized ๋ importance weight) ๋ฅผ ์ป์
(7) si (sentence vector) ๋ฅผ ๊ณ์ฐ : ๊ฐ์ค์น๋ฅผ ๊ธฐ๋ฐ์ผ๋ก ํ ๋จ์ด annotation์ ๊ฐ์ค์น ํฉ๊ณ(weighted sum)์ผ๋ก.
- uit์ ์ญํ ์?
hit ๋ forward, backward ๊ฒฐํฉํ์ฌ ์๊ธด(=GRU) hidden state
→ ์๋ฅผ one-layer MLP์ ๋ฃ์ด์ฃผ๋ฉด uit๊ฐ ์๊น
→ uit๋ hit์ hidden representation ์ธ ๊ฒ
Sentence Encoder
- si(sentence vector) ๊ฐ ์ฃผ์ด์ง
- ๋น์ทํ ๋ฐฉ์์ผ๋ก document vector๋ฅผ ์ป์ ์ ์์ ⇒ bidirectional GRU

- i ๋ฒ์งธ sentence ์ annotation : forward hi์ backward hj๋ฅผ ํตํฉํ์ฌ ์ป์ ์ ์์

- hi๋ ๋ฌธ์ฅ i ์ฃผ์์ ์ด์ ๋ฌธ์ฅ์ ์์ฝํ์ง๋ง ์ฌ์ ํ ๋ฌธ์ฅ i์ ์ง์คํฉ๋๋ค.
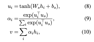
Sentence Attention

- ๋ฌธ์๋ฅผ ์ฌ๋ฐ๋ฅด๊ฒ ๋ถ๋ฅํ๋ ๋ฌธ์ฅ์ ๋ํ ๋ณด์ : attention mechanism
(9) ๋ฌธ์ฅ์ ์ค์๋๋ฅผ ์ธก์ : us(setence level context vector) ์ ui์ ์ ์ฌ์ฑ์ผ๋ก ์ธก์
→ softmax function์ ํตํด ai (normalized ๋ importance weight) ๋ฅผ ์ป์
(10) v ( document vector) ๊ณ์ฐ : ๋ฌธ์์ ์๋ ๋ฌธ์ฅ๋ค์ ๋ชจ๋ ์ ๋ณด๋ฅผ ์์ฝ
- ๋ฌธ์ฅ ์์ค์ ์ปจํ
์คํธ ๋ฒกํฐ๋ ํ๋ จ ๊ณผ์ ์์ ๋ฌด์์๋ก ์ด๊ธฐํ(randomly initialized)๋๊ณ ๊ณต๋ ํ์ต ๋ ์ ์์ต๋๋ค.
→ (๋งค์ฐ ์ค์) ์์์ ๋์๋ uw(word level context vector), us(setence level context vector) ๋ randomly initialized ๋ ๋ฒกํฐ
→ ์ฌ์ ์ ์์ฑ๋ vector ๋ค๊ณผ๋ ๋ฌด๊ดํ ๋๋ค๋ฒกํฐ
Document classification
- v (document vector) : high level representation of the document

(11) document classification์ features๋ก ์ฌ์ฉ๊ฐ๋ฅ

(12) training loss๋ก๋ ์ฌ๋ฐ๋ฅธ ๋ ์ด๋ธ์ ์์ ๋ก๊ทธ ๊ฐ๋ฅ์ฑ์ ์ฌ์ฉ
- j (๋ฌธ์ d์ label)
Reference
Yang, Zichao, et al. "Hierarchical attention networks for document classification." Proceedings of the 2016 conference of the North American chapter of the association for computational linguistics: human language technologies. 2016.
'Projects > Hate Speech Detection' ์นดํ ๊ณ ๋ฆฌ์ ๋ค๋ฅธ ๊ธ
| [ํ ๋ ๊ทธ๋จ ์ฑ๋ด] ํ์ด์ฌ ํ ๋ ๊ทธ๋จ ์ฑ๋ด ๋ง๋ค๊ธฐ (0) | 2021.07.16 |
|---|---|
| [๋ฐ์ดํฐ์ ] Hate speech dataset (0) | 2019.12.23 |
| [์์ด๋์ด ์๊ฐ] Hate speech detection (0) | 2019.12.23 |